Abstract
BACKGROUND:
Extranodal natural killer/T-cell lymphoma, nasal type, (ENKTCL) is a rare and aggressive peripheral T-cell lymphoma associated with Epstein-Barr virus infection of neoplastic cells. The current standard-of-care for patients (pts) with localized disease is combined modality with radiation and systemic chemotherapy, while advanced disease is treated with asparaginase-based combination chemotherapy or chemoradiation. To date, there is limited real-world data regarding the clinico-pathological markers, survival patterns, and long-term outcomes ENKTCL in the United States.
METHODS:
We conducted a retrospective study of pts with ENKTCL. We reviewed clinical variables, pathological characteristics, treatment patterns and outcomes. Patients who were treated/referred to our instituition from 2009-2020 were included in the analysis. We excluded cases with missing treatment and/or no follow up information. Fisher's exact test or Chi-square test was used to evaluate the association between two categorical variables. Kaplan-Meier method was used to estimate the time-to-event endpoints including progression free survival (PFS) and overall survival (OS).
RESULTS:
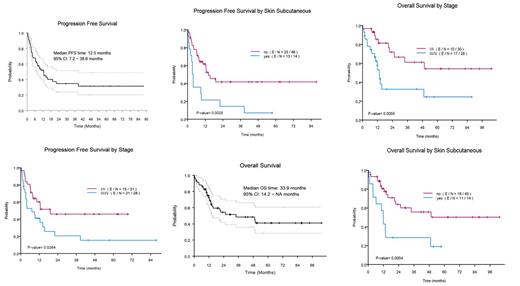
A total of 69 patients met diagnostic criteria and were included in this retrospective analysis. Forty (60%) patients were <60 years of age at diagnosis with median age of 53 years (range 13-94); 38 (57%) were men. Thirty-five (50%) patients had early-stage, 28 (40%) advanced-stage disease among whom all but one had stage 4 disease, and 6 (10%) were unknown. Extranodal sites involved were cutaneous/ subcutaneous (n=16), CNS (n=5) and bone/ bone marrow (n=5). Of the cases with CD30 testing done, 54% (20/36) were positive. In early-stage disease, 10 pts received either radiation alone (n=4) or chemotherapy alone (n=6), while 24 received combined modality therapy. Only 15 patients with advanced-stage disease received frontline asparaginase based therapy. Five patients received CHOP based therapy all prior to 2014. Among the 53 patients evaluable for response, the overall response (OR) to first line treatment was 67.92% (95% CI: 53.68 ~ 80.08%) with complete response (CR) rate of 66.04% (95% CI: 51.73 ~ 78.48%). In those with early stage, 77% had a CR, whereas only 47 % with advanced disease had CR to frontline treatment (p=0.0327). Eight patients with advanced-stage disease underwent consolidation high dose chemotherapy and autologous stem cell transplant, with 2 relapses post-therapy.
The the median PFS to frontline treatment was 12.48 months (95% CI: 7.23-38.63), for stages I/II 19.15 months, and for stages III/IV 7.23 months . The PFS rate at 2 years was 35% (95% CI: 0.24-0.51) for the entire cohort, 46% (95% CI: 0.3-0.71) for stage I/II, and 21% (95% CI: 0.09-0.47) for stage III/ IV (p=0.0264) (Figure 1A). Extranodal involvement of the skin / subcutaneous tissue was associated with worse outcomes (Figures 1B and C), with a median PFS to frontline treatment at 3.52 months versus 14.22 months (P=0.0025), and a 2-year PFS of 14% (95% CI: 0.04-0.52). The median OS (Figure 1D) for the entire cohort was 33.94 months (95%CI 14.22 - NA), with OS at 2 years (Figure 1A) of 54% (95% CI: 0.42 -0.71) for the whole cohort, 72% (95% CI: 0.56 -0.92) for stage I/II and 33% (95% CI: 0.18 - 0.6) for stage III/ IV (p=0.0055). The most common second line regimen was SMILE (n=7, 5CRs and 1PR). Novel therapies included brentuximab vedotin (n=4), pembrolizumab (n=6), and EBV-directed T cell infusion (n=5). Analysis of molecular predictive markers, clinical correlates and toxicity data is currently ongoing and will be presented at the meeting.
CONCLUSION:
ENKTCL has poor prognosis especially in advanced stages. In this large single institution cohort, we evaluated the clinical and treatment patterns of this disease over a 12-year period. Our cohort was characterized by younger age and early stage. Higher response rates and improved survival were seen in those with early stage. In advanced stage; the presence of skin/ subcutaneous involvement was identified as a high-risk feature for worse survival. Furthermore, this trend was maintained for PFS and OS for those with advanced stages and skin/ subcutaneous involvement. A better understanding of targetable pathways and a unified treatment approach is needed to improve the outcomes for patients with high-risk features.
Huen: Rhizen: Research Funding; Elorac: Research Funding; Kyowa Kirin: Research Funding; Tillium: Research Funding; Innate: Research Funding; Galderma: Research Funding; Miragen: Research Funding. Ahmed: Seagen: Research Funding; Tessa Therapeutics: Membership on an entity's Board of Directors or advisory committees, Research Funding; Merck: Research Funding; Xencor: Research Funding. Steiner: BMS: Research Funding; Seattle Genetics: Research Funding; Rafael Pharmaceuticals: Research Funding. Chihara: Astrazeneca: Honoraria. Jain: Lilly: Consultancy; kite: Consultancy. Nastoupil: Caribou Biosciences: Research Funding; Novartis: Honoraria, Research Funding; Epizyme: Honoraria, Research Funding; MorphoSys: Honoraria; Genentech: Honoraria, Research Funding; Janssen: Honoraria, Research Funding; Gilead/Kite: Honoraria, Research Funding; Bayer: Honoraria; Pfizer: Honoraria, Research Funding; ADC Therapeutics: Honoraria; TG Therapeutics: Honoraria, Research Funding; Bristol Myers Squibb/Celgene: Honoraria, Research Funding; IGM Biosciences: Research Funding; Takeda: Honoraria, Other: DSMC, Research Funding; Denovo Pharma: Other: DSMC. Pinnix: Merck Inc: Research Funding. Neelapu: Kite, a Gilead Company, Merck, Bristol Myers Squibb, Novartis, Celgene, Pfizer, Allogene Therapeutics, Cell Medica/Kuur, Incyte, Precision Biosciences, Legend Biotech, Adicet Bio, Calibr, Unum Therapeutics and Bluebird Bio: Honoraria; Takeda Pharmaceuticals and related to cell therapy: Patents & Royalties; Kite, a Gilead Company, Bristol Myers Squibb, Merck, Poseida, Cellectis, Celgene, Karus Therapeutics, Unum Therapeutics (Cogent Biosciences), Allogene, Precision BioSciences, Acerta and Adicet Bio: Research Funding; Kite, a Gilead Company, Merck, Bristol Myers Squibb, Novartis, Celgene, Pfizer, Allogene, Kuur, Incyte, Precision BioSciences, Legend, Adicet Bio, Calibr, and Unum Therapeutics: Other: personal fees. Flowers: 4D: Research Funding; TG Therapeutics: Research Funding; Adaptimmune: Research Funding; Morphosys: Research Funding; AbbVie: Consultancy, Research Funding; Cellectis: Research Funding; Pharmacyclics/Janssen: Consultancy; Karyopharm: Consultancy; Gilead: Consultancy, Research Funding; Kite: Research Funding; Ziopharm: Research Funding; Iovance: Research Funding; Nektar: Research Funding; Spectrum: Consultancy; SeaGen: Consultancy; Celgene: Consultancy, Research Funding; Biopharma: Consultancy; Bayer: Consultancy, Research Funding; Epizyme, Inc.: Consultancy; Denovo: Consultancy; Janssen: Research Funding; Takeda: Research Funding; Burroughs Wellcome Fund: Research Funding; Genmab: Consultancy; BeiGene: Consultancy; Amgen: Research Funding; Xencor: Research Funding; Novartis: Research Funding; Genentech/Roche: Consultancy, Research Funding; National Cancer Institute: Research Funding; EMD: Research Funding; Cancer Prevention and Research Institute of Texas: CPRIT Scholar in Cancer Research: Research Funding; Sanofi: Research Funding; Acerta: Research Funding; Eastern Cooperative Oncology Group: Research Funding; Allogene: Research Funding; Pfizer: Research Funding; Guardant: Research Funding; Pharmacyclics: Research Funding. Hosing: Nkarta Therapeutics: Membership on an entity's Board of Directors or advisory committees. Wang: OMI: Honoraria; Celgene: Research Funding; BGICS: Honoraria; Moffit Cancer Center: Honoraria; Genentech: Consultancy; Miltenyi Biomedicine GmbH: Consultancy, Honoraria; Bayer Healthcare: Consultancy; Imedex: Honoraria; Juno: Consultancy, Research Funding; The First Afflicted Hospital of Zhejiang University: Honoraria; Dava Oncology: Honoraria; Oncternal: Consultancy, Research Funding; Scripps: Honoraria; InnoCare: Consultancy, Research Funding; DTRM Biopharma (Cayman) Limited: Consultancy; AstraZeneca: Consultancy, Honoraria, Research Funding; Clinical Care Options: Honoraria; Mumbai Hematology Group: Honoraria; BeiGene: Consultancy, Honoraria, Research Funding; Epizyme: Consultancy, Honoraria; CAHON: Honoraria; Hebei Cancer Prevention Federation: Honoraria; Chinese Medical Association: Honoraria; Loxo Oncology: Consultancy, Research Funding; Pharmacyclics: Consultancy, Research Funding; VelosBio: Consultancy, Research Funding; Molecular Templates: Research Funding; Lilly: Research Funding; BioInvent: Research Funding; CStone: Consultancy; Newbridge Pharmaceuticals: Honoraria; Physicians Education Resources (PER): Honoraria; Kite Pharma: Consultancy, Honoraria, Research Funding; Janssen: Consultancy, Honoraria, Research Funding; Anticancer Association: Honoraria; Acerta Pharma: Consultancy, Honoraria, Research Funding. Vega: i3Health, Elsevier, America Registry of Pathology, Congressionally Directed Medical Research Program, and the Society of Hematology Oncology: Research Funding; CRISPR Therapeutics and Geron: Research Funding. Iyer: CRISPRX: Research Funding; Seattle Genetics: Research Funding; Rhizen: Research Funding; Merck: Research Funding; Legend: Research Funding; Innate: Research Funding; Spectrum: Research Funding; Trillium: Research Funding; Astra Zeneca: Research Funding; Yingli: Research Funding; Cyclacel: Research Funding.

This feature is available to Subscribers Only
Sign In or Create an Account Close Modal